单击打开
强度调制器偏压控制器
强度调制器偏压控制器可实现对我司强度调制器的正交工作点自动锁定。
产品描述
强度调制器偏压控制器可实现对我司强度调制器的正交工作点自动锁定。
产品特点
强度调制器自动偏压控制
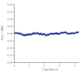
高长期稳定性
小尺寸
控制稳定性

外形尺寸及引脚定义

|
类型 |
符号 |
描述 |
|
供电 |
Type-C Port |
Type-C 5V 供电 |
|
调制器连接 (ToDevice) |
PD- |
连接至MPD- |
|
PD+ |
连接至MPD+ |
|
|
GND |
偏压控制器地,连接至热调电极 |
|
|
BIAS |
正电压偏置,连接至另一热调电极 |
|
|
通信 |
Tx |
UART TTL通信TX |
|
Rx |
UART TTL通信RX |
|
|
GND |
偏压控制器地 |
|
|
尺寸 |
L x W x H |
51 mm x 33 mm x 1.6 mm |
性能参数
|
类别 |
参数 |
符号 |
条件 |
最小值 |
典型值 |
最大值 |
单位 |
|
控制特性 |
初次稳定时间 |
- |
从上电开始到控制稳定所需的时间 |
- |
15 |
30 |
s |
|
出光控制稳定性 |
- |
调制器、偏压控制器需均在恒温环境下 |
- |
±0.05 |
- |
dB |
|
|
电气特性 |
供电电压 |
Vs |
|
4.5 |
5 |
5.5 |
|
|
直流偏压控制输出 |
Vbias |
VDC |
0 |
- |
4.5 |
V |
|
|
正交点选择 |
- |
- |
QUAD+ |
||||
|
控制步进 |
Vstep |
- |
0.2 |
- |
- |
mV |
|
损伤阀值
若器件工作超过最大损伤阈值将对器件造成不可逆损伤,此类产品损伤不在维保服务范围。
|
参数 |
符号 |
最小值 |
最大值 |
单位 |
|
供电电压 |
Vs |
- |
5.8 |
V |
|
强度调制器输入光功率 |
- |
- |
20 |
dBm |
|
工作温度* |
To |
0 |
60 |
℃ |
|
储存温度 |
Ts |
-40 |
85 |
℃ |
|
相对湿度(无凝露) |
RH |
20 |
70 |
% |
- 更宽温度范围可定制。
资源下载
